The National Democratic Congress (NDC) caucus in Parliament has voiced its disappointment with the New Patriotic Party (NPP) over the absence of its members in the chamber on Thursday, November 7, 2024.
Speaker of Parliament Alban Bagbin was compelled to adjourn the House indefinitely after the Business Committee failed to prepare an agenda, leaving lawmakers without any scheduled business to address.

The recall session, initiated by the NPP caucus, was expected to tackle several pressing issues, but their absence halted proceedings.
In his remarks, Speaker Bagbin expressed frustration with the stalled session, underscoring that without input from the committee and an agenda, the meeting could not proceed.
Following the adjournment, Effutu MP Alexander Afenyo-Markin, representing the NPP caucus, criticized Speaker Bagbin, alleging that his actions were “setting the country on fire” and claiming that he was “undermining democracy.”
Afenyo-Markin urged the Speaker to demonstrate greater statesmanship.
In response, the NDC caucus issued a statement on Friday, November 8, signed by Deputy Minority Leader Emmanuel Armah-Kofi Buah, condemning Afenyo-Markin’s remarks as “unparliamentary” and “unsavory.”
The NDC caucus demanded an “immediate and unqualified apology,” arguing that such attacks disrespected the Speaker’s office and undermined its authority.
The NDC statement emphasized that Speaker Bagbin has consistently upheld the Constitution and defended the integrity of Ghana’s parliamentary and democratic institutions.
























































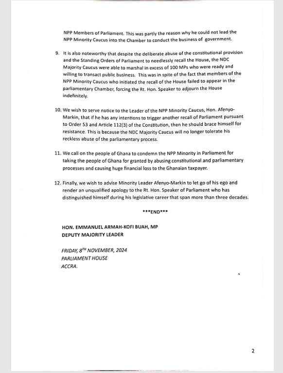
![[FREE FREE MONEY] Predict and Win a Guaranteed GH¢200 From Us EVERY WEEK](https://wordpress.ghanatalksradio.com/wp-content/uploads/2022/02/Predict-and-Win-Final-09-03-2021-218x150.jpg)
![[Predict & Win – 8th/Oct.] WIN A Guaranteed ¢200 From Us This Week](https://wordpress.ghanatalksradio.com/wp-content/uploads/2021/10/maxresdefault-16-218x150.jpg)
![[Predict & Win – 2nd] WIN A Guaranteed ¢200 From Us This Week](https://wordpress.ghanatalksradio.com/wp-content/uploads/2021/09/maxresdefault-50-218x150.jpg)
![[Predict & Win – 25th] WIN A Guaranteed ¢200 From Us This Week](https://wordpress.ghanatalksradio.com/wp-content/uploads/2021/09/maxresdefault-36-218x150.jpg)
![[Predict & Win – 18th] WIN A Guaranteed ¢200 From Us This Week](https://wordpress.ghanatalksradio.com/wp-content/uploads/2021/09/maxresdefault-23-218x150.jpg)










![[National cathedral] See full list of churches that have contributed since 2018](https://wordpress.ghanatalksradio.com/wp-content/uploads/2020/09/Ghana-National-Cathedral-GhanaTalksRadio-100x70.jpg)



